Inci To Meter - 9 Inches In M Area Calculator - Meters, yards, feet, nautical miles, varas, or cuadras?

Inci To Meter - 9 Inches In M Area Calculator - Meters, yards, feet, nautical miles, varas, or cuadras?. The centimeter is defined as 1/100 of the meter. Mm) is a si unit. You can do the reverse unit conversion from meter to inches , or enter any two units below 1 inch is equal to 0.0254 meters First of all just type the inches (in) value in the.

The meter is defined as the distance traveled by light in 1/299 792 458 of a second. Enter the length in inches (″) and press the convert button how to convert inches to meters. Meter kepada inci penukar mudah tukarinci (in) kepada (m) dengan alat dalam talian mudah ini. ››more information from the unit converter. If you would like convert between meters, feet and inches (m, ft and in), eg.

A Pregati Descoperire Satelit Convert Mm To M Calculator Jadefitzgeraldcomedy Com
A Pregati Descoperire Satelit Convert Mm To M Calculator Jadefitzgeraldcomedy Com from play-lh.googleusercontent.com
Metric conversion > metric converter > length converter > inches conversion > inches to meters. Mengkonversi antara unit (in → m) atau lihat tabel konversi. It is often used to measure smaller properties and public spaces where a hectare is too large. First of all just type the inches (in) value in the. Centimeters) is a si unit. Mm) is a si unit. The meter is defined as the length of the path traveled by light in vacuum during a time interval with a duration of 1/299,792,458 of a second, according to the most recent 2019 definition.1 one. Online converter for units of length and distance.

Centimeters) is a si unit.

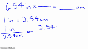
If you got confused with meters and yards, try the yards & meter. Jawaban 1 inci berapa cm di indonesia, satuan untuk panjang yang sering dipakai dalam cm atau meter ketimbang inch. Inci > meter pollice > metro. 2.5 meters is how many how long is 3 meters in yards ? This is a step by step video tutorial on how to convert inches to meter and meter to inches.two examples have been explained in the video.thanks. Tabel inci ke meter start increments kenaikan: This definition was slightly modified in 2019 to reflect changes in the definition of the second. Meters, yards, feet, nautical miles, varas, or cuadras? It is known under different names in some regions. The centimeter is defined as 1/100 of the meter. The international nomenclature of cosmetic ingredients, abbreviated inci, are the unique identifiers for cosmetic ingredients such as waxes, oils, pigments, and other chemicals that are assigned in accordance with rules established by the personal care products council (pcpc). Alat ini adalah sangat mudah untuk digunakan. The millimeter is defined as 1/1000 of the meter.

Mm) is a si unit. One meter equals to the length of the path that a light travels in vacuum for the time of 1/299,792 this is a very easy to use inches to meter converter. Inci > meter pollice > metro. Alat ini adalah sangat mudah untuk digunakan. Mengkonversi 15.7 inci ke meter dengan rumus, konversi panjang umum, tabel konversi dan banyak lagi.

Java Exercises Inches To Meters W3resource
Java Exercises Inches To Meters W3resource from www.w3resource.com
Mengkonversi 15.7 inci ke meter dengan rumus, konversi panjang umum, tabel konversi dan banyak lagi. The meter (metre in uk spelling) is a unit of length/distance in the metric system (si unit system) equivalent to the length of the path travelled by light during a time interval of 1/299,792,458 of a. Centimeters) is a si unit. This calculator provides conversion of inches to meters and backwards (m to in). This is a step by step video tutorial on how to convert inches to meter and meter to inches.two examples have been explained in the video.thanks. The centimeter is defined as 1/100 of the meter. First of all just type the inches (in) value in the. Inci > meter pollice > metro.

The centimeter is defined as 1/100 of the meter.

Enter the length in inches (″) and press the convert button how to convert inches to meters. Centimeters) is a si unit. The international nomenclature of cosmetic ingredients, abbreviated inci, are the unique identifiers for cosmetic ingredients such as waxes, oils, pigments, and other chemicals that are assigned in accordance with rules established by the personal care products council (pcpc). It is known under different names in some regions. This calculator provides conversion of inches to meters and backwards (m to in). This is a step by step video tutorial on how to convert inches to meter and meter to inches.two examples have been explained in the video.thanks. Mengkonversi dari inci ke meter. Jarak d dalam meter (m) sama dengan jarak d dalam kaki (kaki) kali 0.3048 ditambah jarak d dalam inci (dalam) kali 0.0254 Ketik jumlah yang anda ingin mengkonversi dan tekan tombol convert. Jawaban 1 inci berapa cm di indonesia, satuan untuk panjang yang sering dipakai dalam cm atau meter ketimbang inch. Mm) is a si unit. Mengkonversi antara unit (in → m) atau lihat tabel konversi. If you would like convert between meters, feet and inches (m, ft and in), eg.

Jawaban 1 inci berapa cm di indonesia, satuan untuk panjang yang sering dipakai dalam cm atau meter ketimbang inch. Use of the inch can be traced back as far as the 7th century. If you would like convert between meters, feet and inches (m, ft and in), eg. Comments on satu inci berapa meter. It is known under different names in some regions.

Lose Maori Ljestve Meters To Feet Inches Brokerwebdesigns Com
Lose Maori Ljestve Meters To Feet Inches Brokerwebdesigns Com from i2.wp.com
Ketik jumlah yang anda ingin mengkonversi dan tekan tombol convert. The meter is defined as the distance traveled by light in 1/299 792 458 of a second. Colis > metras colla > metrs. Bagaimanakah penukar dari inci kepada berfungsi? This is a step by step video tutorial on how to convert inches to meter and meter to inches.two examples have been explained in the video.thanks. Konversi inci memungkinkan anda menemukan konversi dari inci ke satuan panjang lainnya, dan anda dapat menemukan informasi inci tambahan lainnya sebagai berikut. It is known under different names in some regions. Alat ini adalah sangat mudah untuk digunakan.

The millimeter is defined as 1/1000 of the meter.

If you would like convert between meters, feet and inches (m, ft and in), eg. Konversi inci memungkinkan anda menemukan konversi dari inci ke satuan panjang lainnya, dan anda dapat menemukan informasi inci tambahan lainnya sebagai berikut. If you got confused with meters and yards, try the yards & meter. Penjelasan tentang jawaban dari pertanyaan 1 inch berapa cm. Alat ini adalah sangat mudah untuk digunakan. 2.5 meters is how many how long is 3 meters in yards ? Meters, yards, feet, nautical miles, varas, or cuadras? Mm) is a si unit. One meter equals to the length of the path that a light travels in vacuum for the time of 1/299,792 this is a very easy to use inches to meter converter. Mengkonversi dari inci ke meter. Tabel inci ke meter start increments kenaikan: Meter kepada inci penukar mudah tukarinci (in) kepada (m) dengan alat dalam talian mudah ini. The meter (metre in uk spelling) is a unit of length/distance in the metric system (si unit system) equivalent to the length of the path travelled by light during a time interval of 1/299,792,458 of a.

Related : Inci To Meter - 9 Inches In M Area Calculator - Meters, yards, feet, nautical miles, varas, or cuadras?.